Der Durchflussrechner pvt Typ C 621 ist ein Universal-Energie-/Immissions- und Durchflussrechner für Dampf, Gas, Rauchgas und Flüssigkeit.
Diese neueste Weiterentwicklung der pvt technology GmbH kann in vielen Details kundenspezifisch veredelt werden. So ermöglichen beispielsweise unsere universellen pvt Eingangskarten individuelle und spezifische Berechnungen und Linearisierungen. Dadurch wird ein weites Spektrum an Sonderapplikationen möglich.
Alle Durchflussrechner pvt Typ C 621 verlassen unser Werk genau für die jeweilige Applikation betriebsfertig vorparametriert und getestet und mit einem speziell für Ihre Anwendung erstellten, detaillierten elektrischen Anschlussschema.
Die Besonderheiten, die der Durchflussrechners pvt Typ C 621 bietet, lassen sich mit dem PLS nur schwer und mit hohem Programmieraufwand realisieren und es werden dabei auch zu viele Eingänge belegt. Daher entscheiden sich immer mehr Betreiber für die kostengünstigere und zuverlässigere Insellösung mit unserem Durchflussrechner pvt Typ C 621. Auch Fernwartungen oder Ferndiagnosen lassen sich über den optionalen Profi-, M- oder Mod-Bus realisieren.
Besonderheiten:*
- TÜV-eignungsgeprüft und UAL-eingetragen nach TA-Luft und 17. BImSchV für verschmutzte und/oder wasserdampfgesättigte Medien
- bis zu 3 Messstellen in einem Rechner, einschließlich Druck- und Temperaturkompensation oder Vorlauf- und Rücklauftemperatur je Messung
- Berechnungen nach: IAPWS-IF 97, NX-19, SGERG88 und AGA8, ISO 5167, Realgasgleichungen (SRK, RK), diverse Kompressibilitäts-Tabellen, z. B. Luft, N², O², H², CO², CH4 Ar, Ammoniak, Acetylen, Erdgas und Sonderapplikationen
- alle Medien in einem Rechner, z. B. Dampf, Gas, Flüssigkeit; daher keine spezielle Lagerhaltung für Gas, Dampf oder Energie erforderlich
- großes Display:
– acht Zeilen im Klartext LC-Dot-Matrix 160 x 80 Punkte
– acht verschiedene Fenster, in jeder physikalischen Größe und Skalierung programmierbar.
– Hintergrundbeleuchtung blau
– Bei Alarm leuchtet das Display weithin sichtbar rot.
- Display auf Rechner montiert oder separat mit nur 45 mm Einbautiefe für Tafeleinbau
- erhöhte Rechengenauigkeit bei größerem linearem Messverhältnis durch neues, verbessertes Wirkdruck-Berechnungs-Verfahren.
- kompakter Rechner für C-Hutschiene; Einbautiefe lediglich 114 mm
- Standardeingänge: 8 x Analog 0/4 – 20 mA und 8 x Impuls und 6 x RTD, aktiv oder passiv durch Klemmen; kein Öffnen des Rechners erforderlich
- galvanische Trennung der Analogausgänge
- zusätzlicher Eingang z.B. zur Dichtekompensation
- Splitting Range oder Mittelwert aus bis zu 3 dp-Messumformern
- Rechner und Regler in einem. Diverse PI-Regelfunktionen wie P, T, Q, m, Dichte, Niveau über Analogausgänge 0/4 – 20 mA oder AUF/ZU
- Hilfsenergie: 90 – 250/50/60Hz
20 – 36 VDC/AC50/60 Hz
- Vollbedienung über Tasten oder Bedienungssoftware Readwin 2000 über RS 232/485 bequeme Software-Verbindung; von vorne über Klinkenstecker 3,5 mm
- betriebsfertige Vorparametrierung bei der Auslieferung, sofern Betriebs- und Rohrparameter bekannt sind
- nachträglich erweiterbar durch preisgünstige Steckkarten
- „Watch Dog“ für Funktion, Plausibilität, Signalbruch, Messwertüber- oder -unterschreitung
- Zulassungen: UL rec. Comp, CSA GP, ATEX Ex ia, FM USA IS, FM USA NI, CSA IS, CSA NI, NEPSI Ex ia, GOST Ex i
- Als Sondereingänge sind z. B. folgende Größen möglich:
0 - 1 mV, 0 - 5 mV, 0 - 50 mV, 0 - 200 mV, V in AC/DC, mA, Potentiometer, Ni100, KTY81/84, NTC und alle Thermoelemente, die in ein Strom- oder Spannungsnormsignal liefern und direkt in der C 621-Berechnung verarbeitet werden. Dabei ist das Ausgangssignal unserer Eingangskarten linear und proportional. Nicht lineare Kennlinien können über 20 Stützstellen linearisiert und im C 621 direkt zur Berechnung verarbeitet werden.
- Kommunikation über Profi-, M-, oder Mod-Bus
- Fernwartung/Diagnose/Abfrage lokal oder international über Bus, Modem, Ethernet
- Menüsprachen: Deutsch, Englisch, US-Englisch, Französisch, Niederländisch, Spanisch, Polnisch, Tschechisch
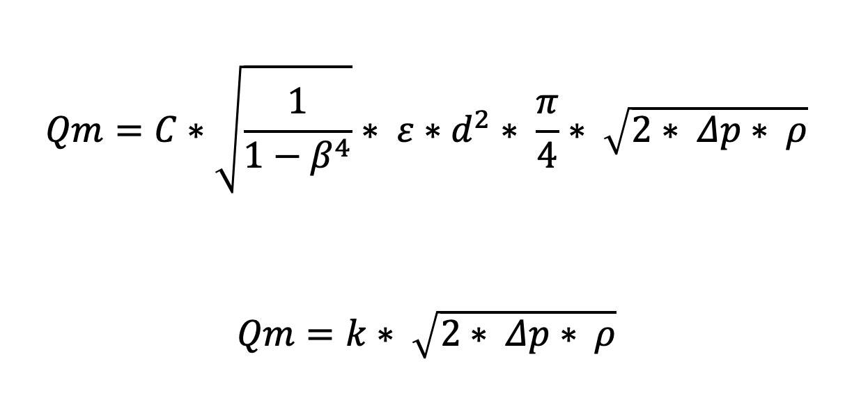
Verbessertes Differenzdruckverfahren des pvt Typ C 621
Traditionelles Differenzdruckverfahren:
Alle Koeffizienten der Durchflussberechnungsgleichung werden einmalig im Auslegezustand berechnet und zu einer Konstante zusammengefasst.

Verbessertes Differenzdruckverfahren:
Im Gegensatz zum traditionellen Verfahren werden die Koeffizienten der Durchflussgleichung (Durchflusskoeffizient, Vorgeschwindigkeitsfaktor, Expansionszahl, Dichte etc.) gemäß ISO 5167 ständig neu berechnet. Dies hat den Vorteil, dass der Durchfluss auch bei schwankenden Prozessbedingungen weit jenseits des Auslegezustands (Temperatur und Druck im Auslegungspunkt) exakt ermittelt wird und somit eine höhere Genauigkeit bei der Durchflussmessung gewährleistet ist.
Hierfür benötigt das Gerät lediglich folgende Daten:
- Rohrinnendurchmesser
- K-Faktor

f = Korrekturfaktor (Berichtigung der Messung, z. B. zur Berücksichtigung der Rohrrauigkeit)
Temperatureinfluss auf Rohrinnendurchmesser
Zu beachten:
Die Rohrdaten sind oft auf Fertigungstemperatur (ca. 20 °C) oder Prozesstemperatur bezogen. Die Umrechnung der Daten auf Betriebstemperatur erfolgt automatisch. Hierfür muss lediglich der Ausdehnungskoeffizient des Rohrmaterials eingegeben werden.
Bei Verwendung von Staudrucksonden:
Bei Verwendung von Staudrucksonden ist anstelle des Durchmesserverhältnisses die Eingabe eines Korrekturfaktors erforderlich. Dieser Faktor wird von pvt technology bei der Parametrierung des C 621 entsprechend der Applikation für Sie implementiert.
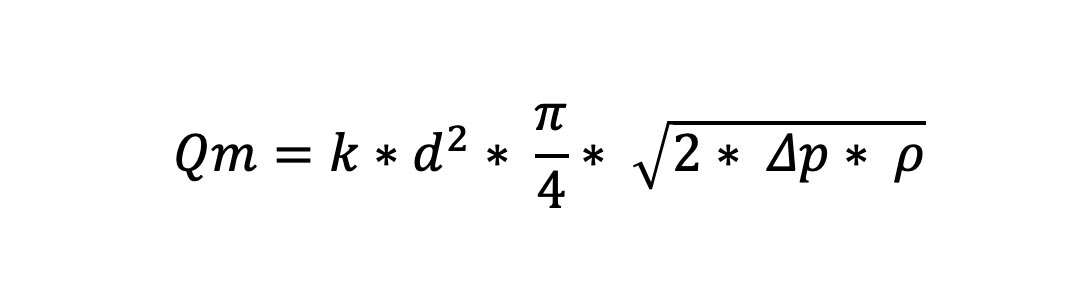
Der Durchfluss errechnet sich wie folgt:

- k = Korrekturfaktor
- d = Rohrinnendurchmesser
- Δp = Differenzdruck
- ρ = Dichte im Betriebszustand
*Bemerkung: Nicht alle aufgeführten Möglichkeiten sind Standard. Profi-, M- oder Modbus, Ethernet, EX- oder Sondereingänge sind optional.